Foto tomada de EPM. https://www.epm.com.co/site/home/sala-de-prensa/noticias-y-novedades/ep…
Por: Carolina Vélez Ospina (carolina.velez@urosario.edu.co)
El objetivo de la construcción de estos centros culturales es la promoción de la participación ciudadana, la cultura, la recreación y el deporte. Este es un tipo de bien público cuyo efecto, según investigaciones previas, es ambiguo. En el trabajo “Provision Effects of Local Public Goods on Crime and Education: Evidence from Colombia” aprovecho la construcción de 18 centros culturales en Medellín para evaluar los efectos de este tipo de centros en términos de educación y crimen. La ubicación de estos centros culturales en Medellín, denominados Unidades de Vida Articulada (UVAs), tuvo en cuenta que los vecindarios no tuvieran lugares adecuados para los eventos culturales y deportivos. En este sentido, esta política afectó directamente a comunidades de bajos ingresos que de otro modo no podían acceder a este tipo de servicios.
Esta política es especialmente interesante porque se desarrolló con la participación ciudadana. Empresas Públicas de Medellín (EPM), el promotor de esta iniciativa, desarrolló talleres colaborativos donde se reunió con diferentes grupos de interés, como madres cabeza de familia y jóvenes, para preguntarles acerca de las principales necesidades de la comunidad, con el fin de proveer servicios que promuevan el uso del tiempo libre en actividades beneficiosas. Los centros brindan diferentes servicios gratuitos, para muchos grupos de edad. Estos incluyen bibliotecas, salas de computo, parques infantiles, teatros y clases de deportes, música y computación.
Esta política también se implementó de forma complementaria al plan maestro de alumbrado urbano para Medellín. Por lo tanto, esos centros tienen una gran inversión en iluminación y seguridad privada. La Figura 1, muestra la distribución de los estos parques en la ciudad, al igual que los colegios y los barrios.
Figura 1 Centros culturales en Medellín.

Ahora bien, para estimar el efecto causal de estos centros culturales sobre los resultados educativos y el crimen, lo primero que hacemos es establecer un grupo de tratamiento (i.e., quién se ve afectado por la política), y un grupo de control (i.e., quién no se ve afectado por la política, pero conserva características muy similares a las del grupo de tratamiento). Así, si antes de la política implementada no observamos diferencias entre estos dos grupos y luego de la política se observa una diferencia, esta puede ser atribuida, bajo ciertas condiciones, a la exposición de los ciudadanos a los centros culturales.
Para establecer estos dos grupos usamos la distancia de cada colegio y de cada barrio a la UVA más cercana. Si la distancia es menor a 1.5km (aproximadamente 20 minutos caminando), se considera que la unidad está en el grupo de tratamiento. Luego de generar esta variable utilizamos un modelo de diferencias en diferencias dinámico, ya que la entrega de los parques se desarrolló en años distintos. La especificación además incluye controles a nivel de colegio y efectos fijos de unidad (colegio o barrio) y de tiempo. Para realizar esta investigación, usamos registros administrativos de resultados en las pruebas Saber, diferentes características de colegios, tomados de la encuesta C600 del DANE; e información de crímenes a nivel de barrio, reportados por la Policía Nacional.
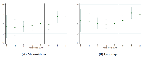
La Figura 2 nos muestra los resultados en términos de educación: los estudiantes de colegios que se encontraron cerca de un parque aumentaron sus resultados educativos en matemáticas y lenguaje, en aproximadamente 0.1 desviaciones estándar. También vemos que no existía diferencia entre los colegios tratados y control en las pruebas Saber, antes de la implantación de la política. Es decir, nos indica que estos grupos sí son estadísticamente comparables. El mayor efecto está dado por las pruebas Saber 3, Saber 5 y Saber 9, es decir, por los estudiantes más jóvenes; mientras que no encontramos efectos en la prueba Saber 11, posiblemente porque estos estudiantes tienen menos tiempo de exposición a los parques antes de la presentación de la prueba.
Figura 2 Resultados en las pruebas Saber.

Una preocupación es que la aparición de centros culturales genere migración entre colegios, lo que podría contaminar nuestros grupos de tratamiento y control. Sin embargo, no se encontraron resultados que indiquen que este tipo de migración efectivamente ocurrió.
Por otra parte, exploramos si la provisión de centros culturales afecta las tasas de crimen en los barrios vecinos (por ejemplo, porque aumentaba el tránsito de personas o había mejor iluminación). Los hurtos a carros y motos se redujeron en 0.12 desviaciones estándar. Por otra parte, no encontramos efectos en otros tipos de crimen como homicidios, robo a personas, robo a residencias y violencia doméstica.
Como la asignación al tratamiento se realizó con una distancia arbitraria de 1.5km, se repitieron los cálculos para buffers de 1, 2 y 2.5km, y para la distancia continua de cada barrio hasta el centro cultural más cercano. Los resultados anteriormente descritos se mantuvieron en estos ejercicios adicionales.
Los resultados sobre educación de la provisión de centros culturales son más alentadores que los de estudios previos en esta misma línea (Borkum et al., 2012; De Witte & Geys, 2011; Rodríguez - Lesmes et al., 2014). Una posible explicación es que los centros culturales tuvieron gran acogida en las comunidades debido a la inclusión de los grupos de interés en el desarrollo de la política. Otras explicaciones, que no son excluyentes, es que los centros culturales se pudieron convertir una fuente de servicio de internet para familias que antes no tenían acceso, o que los colegios hayan aprovechado la infraestructura provista para impartir clases de forma más dinámica.
Por otra parte, los resultados en términos de crimen están en línea con otros estudios que evalúan políticas similares (Blattman et al., 2017; Ferraz et al., 2016; Mihinjac & Saville, 2019). Los centros culturales pueden estar mejorando la percepción de seguridad de los barrios, debido a la alta inversión en seguridad privada e iluminación con las que cuenta cada centro cultural.
Para concluir, nuestros resultados muestran que las políticas centradas en las poblaciones desfavorecidas que les permiten participar a dichas comunidades en su diseño obtienen mejores resultados de educación y disminuciones de la delincuencia.
Si desea conocer más acerca de este trabajo de grado, puede consultar en https://repository.urosario.edu.co/handle/10336/20917.
Referencias:
Blattman, C., Green, D., Ortega, D., & Tobón, S. (2017). Place-based interventions at scale: The direct and spillover effects of policing and city services on crime (Tech. Rep.). National Bureau of Economic Research.
Ferraz, C., Monteiro, J., & Ottoni, B. (2016). State presence and urban violence: Evidence from rio de janeiro’s favelas (Tech. Rep.). Working Paper.
Mihinjac, M., & Saville, G. (2019). Third-generation crime prevention through environmental design (cpted). Social Sciences, 8(6), 182.
Borkum, E., He, F., & Linden, L. L. (2012). The effects of school libraries on language skills: Evidence from a randomized controlled trial in India (Tech. Rep.). National Bureau of Economic Research.
De Witte, K., & Geys, B. (2011). Evaluating efficient public good provision: Theory and evidence from a generalised conditional efficiency model for public libraries. Journal of urban economics, 69(3), 319–327.
Rodríguez-Lesmes, P., Trujillo, J. D., & Valderrama, D. (2014). Are public libraries improving quality of education? when the provision of public goods is not enough. Revista Desarrollo y Sociedad (74), 225–274.
