Imagen tomada del blog: https://www.ehcos.com/interoperabilidad-de-datos-clave-de-sistema-salud-conectado/ [Consultado el 13 de septiembre de 2020]
By: Mateo Ceballos González
Keyword: Economic evaluation, Cost-effectiveness threshold, Efficiency, Opportunity Cost.
Topic: Government Expenditures and Health; Government Policy • Regulation • Public Health
Desde hace varias décadas, los sistemas de salud alrededor del mundo se han enfrentado a un crecimiento exponencial de costos y necesidades en salud de la población. Esto ha generado una necesidad cada vez más imperiosa de contar con alternativas que promuevan el uso eficiente y racional del presupuesto disponible, con miras a promover la salud de la población, la sostenibilidad financiera y la equidad en salud (1). En este contexto, la evaluación económica de tecnologías en salud se ha convertido en un insumo importante para la toma de decisiones en salud, principalmente respecto a la financiación de nuevas tecnologías y la regulación de precios (2). Esta se define como el análisis comparativo de cursos de acción alternativos en términos de costos y consecuencias (3); su objetivo se centra en cuantificar los costos y los beneficios de una tecnología en salud (medicamento, procedimiento, dispositivo médico, entre otros) en comparación con sus alternativas relevantes.
Para desarrollar una evaluación económica se requiere información de varios insumos, entre los cuáles se encuentra el umbral de costo-efectividad. Este puede ser puede ser interpretado desde dos puntos de vista diferentes (4). El primero, llamado el enfoque de la oferta, lo define como el costo de oportunidad de destinar recursos a una nueva tecnología, en términos de los beneficios en salud desplazados como consecuencia de su no disponibilidad para financiar otras alternativas que compiten por el mismo presupuesto (5-6). El segundo, denominado el enfoque de la demanda, lo define como la tasa a la que los individuos estarían dispuestos a renunciar por otras formas de consumo para mejorar la salud, por lo que representa su disposición a pagar (7-8).
En el Colombia se ha acogido la tendencia internacional de asumir un umbral entre 1 y 3 veces el PIB per cápita del país (9-11). Esta tendencia surgió a partir de una interpretación errónea del reporte de la Comisión de Macroeconomía y Salud de la Organización Mundial de la Salud (OMS) en el año 2001 (12), la cual tomó mucha popularidad por su fácil implementación. Sin embargo, la misma OMS y otros autores han reiterado que no tiene sustento teórico o empírico, y que su uso puede exacerbar las desigualdades y promover la reducción en salud de la población (13-15).
¿Cómo analizar el umbral de costo-efectividad desde el enfoque de la oferta?
La discusión alrededor del umbral gira entorno a la concepción teórica y estimación empírica del costo de oportunidad de incorporar una nueva tecnología en salud en un paquete positivo de tecnologías existentes que son financiadas con un presupuesto fijo. Aunque el costo de oportunidad es un término de vieja data dentro de las discusiones en economía, sólo recientemente se ha abordado sistemáticamente dentro de la investigación en evaluación de tecnologías y toma de decisiones en salud (5-6; 16).
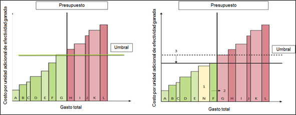
Para analizar los determinantes teóricos del umbral a partir de la noción del costo de oportunidad se ha propuesto el Enfoque del Bookshelf, una aproximación gráfica basada en una metáfora de una repisa para libros. Considere que todas las intervenciones en salud disponibles en un sistema de salud son como los libros, donde la altura de cada libro representa el costo por unidad de efectividad y el ancho de cada libro el costo estimado de proveer la intervención para la población (5-6).
Como se puede observar en la gráfica, en un momento del tiempo algunas intervenciones (sombreado rojo), estarán por fuera de la financiación pública, no porque no sean efectivas sino porque el presupuesto disponible no permite financiarlas. El umbral de costo-efectividad se establecería como el costo por unidad adicional de efectividad ganada de la última tecnología que pudo ser financiada con el presupuesto dado.
Representación gráfica del costo de oportunidad y el umbral de costo-efectividad

Adaptado de Culyer (6).
¿Qué ocurre cuando ingresa una nueva tecnología? Asumiendo que el presupuesto no cambia, esta nueva tecnología desplazará a otras de acuerdo con su impacto presupuestal. Siguiendo la metáfora, si la nueva tecnología tiene un impacto presupuestal alto, el “libro” será más ancho y desplazará a la derecha más libros, comparado con una tecnología cuyo impacto presupuestal no sea tan elevado. Esto tiene una implicación muy importante al momento de considerar el umbral y su relación con el impacto presupuestal: entre más alto sea el impacto presupuestal de una tecnología, más bajo debería ser el umbral de costo-efectividad empleado en su evaluación, ya que por su impacto presupuestal la nueva tecnología desplazaría más intervenciones (5-6).
Basado en las nociones del Enfoque del Bookshelf, Claxton et al (16) propusieron en el año 2015 un marco teórico específico para la estimación del umbral de costo-efectividad desde el enfoque de la oferta, que ha sido referente de múltiples investigaciones empíricas posteriores.
Estimaciones del umbral de costo-efectividad desde el enfoque de la oferta
Vallejo et al (4) identificaron 36 estudios empíricos cuantificando el umbral de costo-efectividad desde el enfoque de la demanda, y sólo uno desde el enfoque de la oferta: el estudio seminal de Claxton et al (16), en el que no sólo propusieron un marco teórico consistente, sino avanzaron en una estimación empírica del umbral de costo-efectividad para el Reino Unido de £12.936 por Año de Vida Ajustado por Calidad (AVAC) ganado.
A partir de esta propuesta se desprendieron otros trabajos que extendieron el análisis a otros países. Woods et al (17) utilizan varios insumos de Claxton et al (16) para realizar una extrapolación simple de sus resultados hacia múltiples países. Para Colombia, calculan un umbral entre $1.370 y $5.518 dólares por AVAC para el 2013. Por su parte, Ochalek, Lomas y Claxton (18) también utilizan los insumos de Claxton et al (16), pero se centran en la estimación de un umbral por Año de Vida Ajustado por Discapacidad (AVAD), que para Colombia se calcula entre $589 y $1.827 dólares por AVAD evitado para el año 2000. Otros autores se han dado a la tarea de replicar la metodología completa, utilizando bases de datos administrativas para obtener una estimación propia del costo de oportunidad y del umbral en sus respectivos países: Canadá (19), España (20), Australia (21), Suecia (22), Holanda (23, 24), India (25), Sudáfrica (26) y China (27).
Estimación del umbral de costo-efectividad para Colombia
El objetivo de este trabajo fue realizar una estimación empírica del umbral de costo-efectividad por Año de Vida Ganando (AVG) para el sistema de salud colombiano, desde el enfoque de la oferta. La aproximación empírica parte de determinar la relación entre el gasto y los beneficios en salud para toda la población del país, respondiendo a la siguiente pregunta: ¿cuál es el efecto de gastar una unidad monetaria en salud, sobre la salud misma de la población?
Para establecer esta relación entre el gasto y la salud, se construyó un modelo econométrico tipo panel de datos no balanceado en tres dimensiones: 1) Las aseguradoras o Entidades Administradoras de Planes de Beneficios (EAPB), que son las encargadas de ejecutar la mayor parte del gasto en salud; 2) Las enfermedades o condiciones de salud, ya que determinan la naturaleza y el nivel de gasto, así como los AVG, la medida de salud de la población en este estudio, asociados a dicho gasto; 3) El tiempo en el que ocurrió el gasto, que por disponibilidad de información se definió entre el 2012 y el 2016.
Para alimentar el modelo se construyó una base de datos novedosa a partir de múltiples fuentes de información institucionales del país para el período 2012-2016: Estudios de Suficiencia, Estadísticas Vitales, Registro Individual de Prestación de Servicios, Base de Datos Única de Afiliados y la información financiera de la Superintendencia de Salud. Por la disponibilidad de información, la estimación se delimitó al universo del régimen contributivo y de tecnologías incluidas en el Plan de Beneficios con Cargo a la Unidad de Pago por Capitación (PBS-UPC).
Un problema empírico importante está asociado a separar la oferta de servicios de salud (nuestro objetivo) y la demanda de los mismos. En principio, mayores recursos pueden mejorar la salud de los pacientes; pero ante choques negativos en salud el sistema reacciona inyectando más recursos (problema de endogeneidad). Por tal motivo, es necesario encontrar una fuente de variación –o variable instrumental- que involucre un mayor o menor gasto en salud por parte de una EAPB, sin que la razón detrás sea responder a nuevas necesidades percibidas. Como variables instrumentales se exploraron los estados financieros de las EAPB para cada año, y el gasto per cápita de nuevas tecnologías incluidas en el PBS-UPC en los años 2012-2016, de cada EAPB, en cada grupo de condiciones de salud, y para cada año. En el primer caso, aseguradoras con más presiones financieras buscarían reducir su nivel de gasto en el siguiente año fiscal, para ajustar sus presupuestos. En el segundo caso, la inclusión de nuevas tecnologías en el presupuesto a cargo de las aseguradoras, las llevaría a incrementar el gasto por persona. Estas relaciones fueron encontradas en los datos.
Los resultados el modelo econométrico arrojan un coeficiente entre el gasto y los AVG de 0,0933, lo que implica un umbral de costo-efectividad de $8.772.177 por AVG. No obstante, el estimador obtenido era muy impreciso, lo que dificulta su uso para política pública: el valor “real” del umbral bien podría ser cercano a los 16 millones como a ser de 0 pesos. A pesar de ello, la estimación de $8.772.177 por AVG se considera la primera estimación empírica del umbral por AVG desde el enfoque de la oferta para Colombia y Latinoamérica, y se convirtió en el punto de partida de una investigación posterior liderada por el Instituto de Evaluación Tecnológica en Salud (IETS).
Otros retos quedaron por resolver en este proyecto. Primero, la estimación se basó en el universo del régimen contributivo (dejando de lado el régimen subsidiado) y de las tecnologías incluidas en el PBS-UPC (dejando de lado tecnologías pagadas con otros recursos del sistema). Segundo, la no inclusión de otras medidas de salud diferentes a los AVG, como los Años de Vida Ajustados por Calidad (AVAC) y Años de Vida Ajustados por Discapacidad (AVAD). Estos elementos propiciaron la creación de un equipo de trabajo institucional liderado por del IETS para avanzar en la estimación de un umbral de costo-efectividad por AVAC y AVAD ganado, con una corrección de la endogeneidad y refinamientos en las estimaciones econométricas. Este trabajo, liderado por el IETS, cuenta con un amplio equipo de trabajo y respaldo institucional desde los principales tomadores de decisión del país.
Si desea conocer más acerca de este trabajo de grado, puede consultar en http://repository.urosario.edu.co/handle/10336/20159.
Referencias:
- Fuchs V. El futuro de la economía de la salud. Lecturas de Economía. 2001; 55: 9-30.
- Wagstaff A, Culyer AJ. Four decades of health economics through a bibliometric lens. J Health Econ. 2012; 31(2): 406-439
- Drummond MF, Sculpher MJ, Claxton K, et al. Methods for the economic evaluation of health care programmes. 4th Ed, New York, Oxford University Press.
- Vallejo-Torres L, García-Lorenzo B, Castilla I, et al. On the Estimation of the Cost-Effectiveness Threshold: Why, What, How?. Value Health. 2016; 19(5): 558-566.
- Paulden M, O'Mahony J, McCabe C. Determinants of Change in the Cost-effectiveness Threshold. Med Decis Making. 2017; 37(2): 264-276.
- Culyer AJ. Cost-effectiveness thresholds in health care: a bookshelf guide to their meaning and use. Health Econ Policy Law. 2016; 11(4): 415-432.
- Bobinac A, Van Exel NJ, Rutten FF, et al. Willingness to pay for a quality-adjusted life-year: the individual perspective. Value Health. 2010; 13(8): 1046-1055.
- Ryen L, Svensson M. The Willingness to Pay for a Quality Adjusted Life Year: A Review of the Empirical Literature. Health Econ. 2015; 24(10): 1289-1301.
- Guerrero R, Guevara C, Parody E. Guía metodológica para la realización de evaluaciones económicas en el marco de Guías de Práctica Clínica. 2014; Grupo de Investigación PROESA, Ministerio de Salud y Protección Social, Colombia, Bogotá D.C.
- Instituto de Evaluación Tecnológica en Salud - IETS. Manual para la elaboración de evaluaciones económicas en salud. Instituto de Evaluación Tecnológica en Salud.2014, IETS, Colombia, Bogotá D.C.
- Atehortúa S, Ceballos M, Gaviria CF, et al. Evaluación de la calidad metodológica de la literatura en evaluación económica en salud en Colombia: una revisión sistemática. Biomedica. 2013; 33(4): 615-630.
- Organización Mundial de la Salud. Macroeconomics and Health: Investing in health for economic development. Reporte de la Comisión de Macroeconomía y Salud. 2001. Geneva: World Health Organization.
- Revill P, Sculpher M. Cost effectiveness of interventions to tackle non-communicable diseases, BMJ. 2012; 344: d:7883.
- Organización Mundial de la Salud. Using health technology assessment for universal health coverage and reimbursement systems. 2015. Geneva, Switzerland. Disponible en: http://www.who.int/health-technology-assessment/HTA_November_meeting_re… [Consultado en junio de 2019].
- Griffiths UK, Legood R, Pitt C. Comparison of Economic Evaluation Methods Across Low-income, Middle-income and High-income Countries: What are the Differences and Why?. Health Econ. 2016; 25 Suppl 1: 29-41.
- Claxton K, Martin S, Soares M, et al. Methods for the estimation of the National Institute for Health and Care Excellence cost-effectiveness threshold. Health Technol Assess. 2015; 19(14): 1-vi.
- Woods B, Revill P, Sculpher M, et al. Country-Level Cost-Effectiveness Thresholds: Initial Estimates and the Need for Further Research. Value Health. 2016; 19(8): 929-935.
- Ochalek J, Lomas J, Claxton K. Estimating health opportunity costs in low-income and middle-income countries: a novel approach and evidence from cross-country data. BMJ Glob Health. 2018; 3(6): e000964.
- Ariste R, Di Matteo L. Value for money: an evaluation of health spending in Canada. Int J Health Econ Manag. 2017; 17(3): 289-310.
- Vallejo-Torres L, García-Lorenzo B, Serrano-Aguilar P. Estimating a cost-effectiveness threshold for the Spanish NHS. Health Econ. 2018; 27(4): 746-761.
- Edney LC, Haji Ali Afzali H, Cheng TC, et al. Estimating the Reference Incremental Cost-Effectiveness Ratio for the Australian Health System. Pharmacoeconomics. 2018; 36(2): 239-252.
- Siverskog J, Henriksson M. Estimating the marginal cost of a life year in Sweden's public healthcare sector. Eur J Health Econ. 2019; 20(5): 751-762.
- Stadhouders N, Koolman X, van Dijk C, et al. The marginal benefits of healthcare spending in the Netherlands: Estimating cost-effectiveness thresholds using a translog production function. Health Econ. 2019; 28(11): 1331-1344.
- van Baal P, Perry-Duxbury M, Bakx P, et al. A cost-effectiveness threshold based on the marginal returns of cardiovascular hospital spending. Health Econ. 2019; 28(1): 87-100.
- Ochalek J, Asaria M, Fen F, et al. Assessing Health Opportunity Costs for the Indian Health Care Systems. CHE Research Papers. 2019; 161: 1-29.
- Edoka IP, Stacey NK. Estimating a cost-effectiveness threshold for health care decision-making in South Africa. Health Policy Plan. 2020; 35(5): 546-555.
- Ochalek J, Wang H, Gu Y, et al. Informing a Cost-Effectiveness Threshold for Health Technology Assessment in China: A Marginal Productivity Approach. Pharmacoeconomics. 2020. Epub ahead of print.
